Подписывайтесь на наш Telegram канал
Новости крипторынка у вас в телефоне
Подписаться
Пицца Laszlo
10 000 BTC
Стоимость пиццы Ласло на сегодняшний день составляет:
$ 772 640 000
До Bitcoin Pizza Day еще 361 день

Binance откажется от ежеквартального сжигания BNB в пользу Auto-Burn

  • Binance заменит стандартное ежеквартальное сжигание на механизм автоматического сжигания BNB.
  • Компания стремится сделать процесс сжигания прозрачным и предсказуемым.
  • Auto-Burn не будет зависеть от доходов, полученных Binance за счет BNB.
  • Сумма сжигания будет варьироваться в зависимости от стоимости BNB и от количества произведенных блоков в течение квартала.

Крупнейшая криптовалютная биржа Binance представила сообществу новый механизм автоматического сжигания BNB Auto-Burn, который заменит привычное ежеквартальное сжигание. 

«За последние несколько лет экосистема Binance Smart Chain (BSC) во многом эволюционировала благодаря обратной связи нашего сообщества. Следуя по стопам других проектов, BNB проходит собственный уникальный путь. Сегодня мы с гордостью объявляем о немедленном внедрении новой процедуры Auto-Burn BNB», — сообщается в пресс-релизе.

Цель нововведения заключается в обеспечении прозрачности и большей предсказуемости для сообщества BNB. Оно будет объективным и поддающимся проверке, а также не будет зависеть от доходов, полученных Binance за счет использования BNB.

Что такое BNB и какова его роль в экосистеме блокчейна?

BNB — это собственный токен, который «подпитывает» транзакции в BSC (аналогично газу в Ethereum), также BNB необходим для децентрализованного сетевого управления BSC, так как Binance не контролирует и не управляет BSC.

BSC (и, следовательно, BNB) поддерживаются исключительно сообществом пользователей, разработчиков, валидаторов и делегаторов. В дополнение к комиссиям и использованию для осуществления транзакций BNB принимается в качестве формы оплаты многими биржами и предприятиями. 

Как будет работать автоматическое сжигание BNB?

В настоящее время есть два основных механизма сжигания BNB: 

1. Часть платы за газ, потраченная на BSC, сжигается в режиме реального времени, как это предусмотрено недавно вышедшим обновлением BEP-95. С момента его выхода (30 ноября 2021 года) BSC сжигает каждый день около 860 BNB. 

2. Binance ежеквартально сжигает BNB для большего сокращения общего предложения токенов на крипторынке. Она уничтожает часть BNB, которые платят трейдеры в качестве комиссий при осуществлении сделок на торговой площадке Binance. Прошлый квартал был 17-м по счету, в результате которого из обращения было изъято 1 335 888 BNB. 

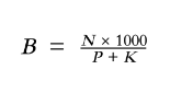
В ближайшее время ежеквартальное сжигание будет заменено на Auto-Burn BNB. Процесс автоматического сжигания будет прозрачным и поддающемся проверке, а также независимым от доходов, полученных Binance за счет использования BNB. Сумма сжигания будет зависеть от цены токена, которая, в свою очередь, отражает спрос и предложение. Также будет учтено количество блоков, произведенных в течение квартала, рассчитанное на основе информации в сети. Формула выглядит следующим образом:

Формула расчета количества сжигания BNB. Источник

B — это количество BNB, которое нужно сжечь;

N — общее количество блоков, произведенных на BSC в течение календарного квартала;

P — средняя цена BNB по отношению к USD;

K — постоянное значение в качестве привязки к цене, изначально установленное на уровне 1 000.

Автоматическое сжигание BNB будет остановлено, когда общая эмиссия BNB достигнет 100 млн. На сегодня максимальное предложение составляет 166 млн, а изначально — 200 млн (после проведения ICO летом 2017 года).

На приведенной ниже диаграмме показана ожидаемая квартальная сумма автоматического сжигания токенов для диапазона средней цены BNB. После внедрения автоматического сжигания прогнозируемая сумма сжигания, основанная на приведенной выше формуле, будет общедоступной.

Диаграмма прогнозируемой суммы сжигания BNB. Источник.

Статьи по теме
12.09.2025
Как торговать на OKX Wallet и получать аирдропы
0
06.05.2025
Разработчики Bitcoin Core планируют удалить OP_RETURN
0
01.05.2025
Ethena интегрирует USDe в TON и Telegram
0
28.04.2025
Coinbase запускает BTC-фонд для заработка на ставке финансирования
0
22.04.2025
Binance запустила ряд торговых турниров с призовым фондом до 450 000 USDT
0